变分推断之高斯混合模型(案例及代码)
本文作者:合肥工业大学 管理学院 钱洋 email:1563178220@qq.com 内容可能有不到之处,欢迎交流。 未经本人允许禁止转载。
本博客对应的CSDN网址为:https://blog.csdn.net/qy20115549/article/details/86694325
案例来源
本博客讲解的案例来源于Journal of the American Statistical Association期刊(顶刊)上的内容:
Blei D M, Kucukelbir A, McAuliffe J D. Variational inference: A review for statisticians[J]. Journal of the American Statistical Association, 2017, 112(518): 859-877.
高斯混合模型(Mixture of Gaussians model,GMM)
在之前的一篇博客中,已经介绍了变分推断的基本原理,下面将以高斯混合模型为例,推导变分推断的公式,并给出了CAVI算法流程。同时将使用python3实现这个小案例。
下图为为高斯混合模型的生成过程:


变分推断
假设变分参数为:$m=(m_1,\ldots,m_K),s^2=(s_1^2,\ldots,s_K^2),\varphi=(\varphi_1,\ldots,\varphi_n)$,其中第一个和第二个是均值$\mu {k}$对应的两个变量,第三个参数为类别$c{i}$对应的变量。这三个参数决定了变分分布$q$.

下界ELBO计算
在变分推断中,重要的是计算下界ELBO:


类别参数$\varphi$更新
更新类别参数$\varphi$时,需要用到下面的公式:






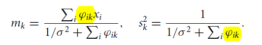
均值对应的参数的更新
下面便是$m_k$以及$m_k,s_k^2$的更新。



完整的算法流程
下图为完整的算法流程:

程序
基于上面的计算公式以及算法流程,下面来写算法程序。以下将以python3进行实现。
import numpy as np
import seaborn as sns
import matplotlib.pyplot as plt
import matplotlib.mlab as mlab
class gmm():
def __init__(self, data, num_clusters, sigma=1):
'''initialization
model parameters(m,s2,phi)--need update
'''
self.data = data
self.K = num_clusters
self.n = data.shape[0]
self.sigma = sigma
self.phi = np.random.random([self.n,self.K]) # phi(matrix n*k)
self.m = np.random.randint(np.min(data), np.max(data), self.K).astype(float) # m(matrix 1*k)
self.s2 = np.random.random(self.K) # s2(matrix 1*k)
def compute_elbo(self):
'''calculate ELOB '''
p1 = -np.sum((self.m**2 + self.s2) / (2 * self.sigma**2))
p2 = (-0.5 * np.add.outer(self.data**2, self.m**2 + self.s2) + np.outer(self.data, self.m))*(self.phi)
p3 = -np.sum(np.log(self.phi))
p4 = np.sum(0.5 * np.sum(np.log(self.s2)))
elbo_c = p1 + np.sum(p2) + p3 + p4
return elbo_c
def update_bycavi(self):
'''update (m,s2,phi)'''
# phi update
e = np.outer(self.data, self.m) + (-0.5 * (self.m**2 + self.s2))[np.newaxis, :] #[np.newaxis, :] is to matrix
self.phi = np.exp(e) / np.sum(np.exp(e), axis=1)[:, np.newaxis] #normalization K*N matrix
#m update
self.m = np.sum(self.data[:, np.newaxis] * self.phi, axis=0)/(1.0 / self.sigma**2 + np.sum(self.phi, axis=0))
# s2 update
self.s2 = 1.0 / (1.0 / self.sigma**2 + np.sum(self.phi, axis = 0))
def trainmodel(self, epsilon, iters):
'''train model
epsilon: epsilon-convergence
iters: iteration number
'''
elbo = []
elbo.append(self.compute_elbo())
# use cavi to update elbo until epsilon-convergence
for i in range(iters):
self.update_bycavi()
elbo.append(self.compute_elbo())
print("elbo is: ", elbo[i])
if np.abs(elbo[-1] - elbo[-2]) <= epsilon:
print("iter of convergence:",i)
break
return elbo
def plot(self,size):
sns.set_style("whitegrid")
for i in range(int(self.n/size)):
sns.distplot(data[size*i : (i+1)*size], rug=True)
x = np.linspace(self.m[i] - 3*self.sigma, self.m[i] + 3*self.sigma, 100)
plt.plot(x,mlab.normpdf(x, self.m[i], self.sigma),color='black')
plt.show()
if __name__ == "__main__":
# generate data
number = 1000
clusters = 5
mu = np.array([1, 5, 7, 9, 15])
data = []
# x-N(Mu,1)
for i in range(clusters):
data.append(np.random.normal(mu[i], 1, number))
# concatenate data
data = np.concatenate(np.array(data))
model = gmm(data, clusters)
model.trainmodel(1e-3, 1000)
print("converged_means:", sorted(model.m))
model.plot(number)
执行该程序,控制台输出的结果为:

另外,matplotlib.pyplot绘图的结果为:

参考论文
Blei D M, Kucukelbir A, McAuliffe J D. Variational inference: A review for statisticians[J]. Journal of the American Statistical Association, 2017, 112(518): 859-877.
